
Авторы: Мордкович, Александрова, Мишустина
Мнемозина, 2021
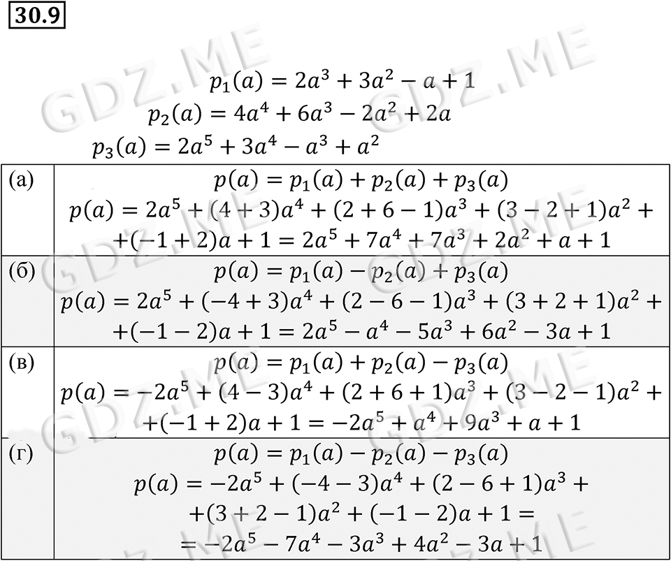
Подробный вариант решения из решебника (ГДЗ): Задание номер 30.9 (§30. Сложение и вычитание многочленов) по предмету Алгебра, за 7 класс, авторы учебника Мордкович, Александрова, Мишустина.
1 глава. Номера с 1.1 по 6.4 (Математический язык. Математическая модель.)
§1. Числовые и алгебраические выражения
1.1 1.2 1.3 1.4 1.5 1.6 1.7 1.8 1.9 1.10 1.11 1.12 1.13 1.14 1.15 1.16 1.17 1.18 1.19 1.20 1.21 1.22 1.23 1.24 1.25 1.26 1.27 1.28 1.29 1.30 1.31 1.32 1.33 1.34 1.35 1.36 1.37 1.38 1.39 1.40 1.41 1.42 1.43 1.44 1.45 1.46 1.47§2. Что такое математический язык
2.1 2.2 2.3 2.4 2.5 2.6 2.7 2.8 2.9 2.10 2.11 2.12 2.13 2.14 2.15 2.16 2.17 2.18 2.19 2.20 2.21 2.22 2.23§3. Что такое математическая модель
3.1 3.2 3.3 3.4 3.5 3.6 3.7 3.8 3.9 3.10 3.11 3.12 3.13 3.14 3.15 3.16 3.17 3.18 3.19 3.20 3.21 3.22 3.23 3.24 3.25 3.26 3.27 3.28 3.29 3.30 3.31 3.32 3.33 3.34 3.35 3.36 3.37 3.38 3.39 3.40 3.41 3.42 3.43 3.44 3.45 3.46 3.47§4. Линейное уравнение с одной переменной
4.1 4.2 4.3 4.4 4.5 4.6 4.7 4.8 4.9 4.10 4.11 4.12 4.13 4.14 4.15 4.16 4.17 4.18 4.19 4.20 4.21 4.22 4.23 4.24 4.25 4.26 4.27 4.28 4.29 4.30 4.31 4.32 4.33 4.34 4.35 4.36 4.37 4.38 4.39 4.40 4.41 4.42 4.43§5. Координатная прямая
5.1 5.2 5.3 5.4 5.5 5.6 5.7 5.8 5.9 5.10 5.11 5.12 5.13 5.14 5.15 5.16 5.17 5.18 5.19 5.20 5.21 5.22 5.23 5.24 5.25 5.26 5.27 5.28 5.29 5.30 5.31 5.32 5.33 5.34 5.35 5.36 5.37 5.38 5.39 5.40 5.41 5.42§6. Статистика и комбинаторика
6.1 6.2 6.3 6.4Домашняя контрольная работа №1:
1.1 1.2 1.3 2.1 2.2 2.32 глава. Номера с 7.1 по 12.6 (Линейная функция.)
§7. Координатная плоскость
7.1 7.2 7.3 7.4 7.5 7.6 7.7 7.8 7.9 7.10 7.11 7.12 7.13 7.14 7.15 7.16 7.17 7.18 7.19 7.20 7.21 7.22 7.23 7.24 7.25 7.26 7.27 7.28 7.29 7.30 7.31 7.32 7.33 7.34 7.35 7.36 7.37 7.38 7.39 7.40§8. Линейное уравнение с двумя переменными и его график
8.1 8.2 8.3 8.4 8.5 8.6 8.7 8.8 8.9 8.10 8.11 8.12 8.13 8.14 8.15 8.16 8.17 8.18 8.19 8.20 8.21 8.22 8.23 8.24 8.25 8.26 8.27 8.28 8.29 8.30 8.31 8.32 8.33 8.34 8.35 8.36 8.37 8.38 8.39§9. Линейная функция и её график
9.1 9.2 9.3 9.4 9.5 9.6 9.7 9.8 9.9 9.10 9.11 9.12 9.13 9.14 9.15 9.16 9.17 9.18 9.19 9.20 9.21 9.22 9.23 9.24 9.25 9.26 9.27.1 9.27.2 9.28 9.29 9.30 9.31 9.32 9.33 9.34 9.35 9.36 9.37 9.38 9.39 9.40 9.41 9.42 9.43 9.44 9.45 9.46 9.47 9.48 9.49 9.50 9.51 9.52 9.53 9.54 9.55 9.56 9.57 9.58 9.59 9.60 9.61 9.62 9.63 9.64 9.65 9.66§10. Линейная функция у = kx
10.1 10.2 10.3 10.4 10.5 10.6 10.7 10.8 10.9 10.10 10.11 10.12 10.13 10.14 10.15 10.16 10.17 10.18 10.19§11. Взаимное расположение графиков линейных функций
11.1 11.2 11.3 11.4 11.5 11.6 11.7 11.8 11.9 11.10 11.11 11.12 11.13 11.14 11.15 11.16 11.17 11.18 11.19 11.20 11.21 11.22 11.23§12. Упорядочение данных, таблицы распределения
12.1 12.2 12.3 12.4 12.5 12.6.1 12.6.2Домашняя контрольная работа №2:
1.1 1.2 1.3 2.1 2.2 2.33 глава. Номера с 13.1 по 17.5 (Системы двух линейных уравнений с двумя переменными.)
§13. Основные понятия
13.1 13.2 13.3 13.4 13.5 13.6 13.7 13.8 13.9 13.10 13.11 13.12 13.13 13.14 13.15 13.16 13.17 13.18 13.19 13.20 13.21§14. Метод подстановки
14.1 14.2 14.3 14.4 14.5 14.6 14.7 14.8 14.9 14.10 14.11 14.12 14.13 14.14 14.15 14.16 14.17 14.18 14.19 14.20 14.21 14.22 14.23 14.24 14.25 14.26.1 14.26.2 14.27 14.28 14.29§15. Метод алгебраического сложения
15.1 15.2 15.3 15.4 15.5 15.6 15.7 15.8 15.9 15.10 15.11 15.12 15.13 15.14 15.15.1 15.15.2 15.16 15.17 15.18§16. Системы двух линейных уравнений как математические модели реальных ситуаций
16.1 16.2 16.3 16.4 16.5 16.6 16.7 16.8 16.9 16.10 16.11 16.12 16.13 16.14 16.15 16.16 16.17 16.18 16.19 16.20 16.21 16.22 16.23 16.24 16.25 16.26 16.27 16.28 16.29 16.30 16.31 16.32 16.33 16.34 16.35 16.36 16.37 16.38§17. Нечисловые ряды данных
17.1 17.2 17.3 17.4 17.5Домашняя контрольная работа №3:
1.1 1.2 1.3 2.1 2.2 2.34 глава. Номера с 18.1 по 23.5 (Степень с натуральным показателем и её свойства.)
§18. Что такое степень с натуральным показателем
18.1 18.2 18.3 18.4 18.5 18.6 18.7 18.8 18.9 18.10 18.11 18.12 18.13 18.14 18.15 18.16 18.17 18.18 18.19 18.20 18.21 18.22 18.23 18.24 18.25 18.26 18.27 18.28 18.29 18.30 18.31 18.32 18.33 18.34 18.35 18.36 18.37§19. Таблица основных степеней
19.1 19.2 19.3 19.4 19.5 19.6 19.7 19.8 19.9 19.10 19.11 19.12 19.13 19.14 19.15 19.16 19.17 19.18 19.19 19.20 19.21 19.22 19.23 19.24 19.25 19.26 19.27 19.28§20. Свойства степени с натуральным показателем
20.1 20.2 20.3 20.4 20.5 20.6 20.7 20.8 20.9 20.10 20.11 20.12 20.13 20.14 20.15 20.16 20.17 20.18 20.19 20.20 20.21 20.22 20.23 20.24 20.25 20.26 20.27 20.28 20.29 20.30 20.31 20.32 20.33 20.34 20.35 20.36 20.37 20.38 20.39 20.40 20.41 20.42§21. Умножение и деление степеней с одинаковыми показателями
21.1 21.2 21.3 21.4 21.5 21.6 21.7 21.8 21.9 21.10 21.11 21.12 21.13 21.14 21.15 21.16 21.17 21.18 21.19 21.20 21.21 21.22 21.23 21.24§22. Степень с нулевым показателем
22.1 22.2 22.3 22.4 22.5 22.6 22.7 22.8 22.9 22.10 22.11 22.12§23. Работа с таблицами распределения
23.1 23.2 23.3 23.4 23.5Домашняя контрольная работа №4:
1.1 1.2 2.1 2.25 глава. Номера с 24.1 по 28.5 (Одночлены. Арифметические операции над одночленами.)
§24. Понятие одночлена. Стандартный вид одночлена
24.1 24.2 24.3 24.4 24.5 24.6 24.7 24.8 24.9 24.10 24.11 24.12 24.13 24.14 24.15 24.16 24.17 24.18 24.19§25. Сложение и вычитание одночленов
25.1 25.2 25.3 25.4 25.5 25.6 25.7 25.8 25.9 25.10 25.11 25.12 25.13 25.14 25.15 25.16 25.17 25.18 25.19 25.20 25.21 25.22 25.23 25.24 25.25 25.26 25.27 25.28 25.29 25.30 25.31 25.32 25.33 25.34 25.35 25.36 25.37 25.38 25.39 25.40 25.41§26. Умножение одночленов. Возведение одночлена в натуральную степень
26.1 26.2 26.3 26.4 26.5 26.6 26.7 26.8 26.9 26.10 26.11 26.12 26.13 26.14 26.15 26.16 26.17 26.18 26.19 26.20 26.21 26.22 26.23 26.24 26.25 26.26 26.27 26.28 26.29 26.30 26.31 26.32 26.33 26.34§27. Деление одночлена на одночлен
27.1 27.2 27.3 27.4 27.5 27.6 27.7 27.8 27.9 27.10 27.11 27.12 27.13 27.14 27.15 27.16 27.17 27.18 27.19§28. Таблица распределения частот
28.1 28.2 28.3 28.4 28.5Домашняя контрольная работа №5:
1 26 глава. Номера с 29.1 по 35.8 (Многочлены. Арифметические операции над многочленами.)
§29. Основные понятия
29.1 29.2 29.3 29.4 29.5 29.6 29.7 29.8 29.9 29.10 29.11 29.12 29.13 29.14 29.15 29.16 29.17 29.18 29.19 29.20 29.21 29.22 29.23 29.24 29.25 29.26 29.27 29.28§30. Сложение и вычитание многочленов
30.1 30.2 30.3 30.4 30.5 30.6 30.7 30.8 30.9 30.10 30.11 30.12 30.13§31. Умножение многочлена на одночлен
31.1 31.2 31.3 31.4 31.5 31.6 31.7 31.8 31.9 31.10 31.11 31.12 31.13 31.14 31.15 31.16 31.17 31.18 31.19 31.20 31.21 31.22 31.23 31.24 31.25 31.26 31.27 31.28 31.29 31.30 31.31 31.32 31.33§32. Умножение многочлена на многочлен
32.1 32.2 32.3 32.4 32.5 32.6 32.7 32.8 32.9 32.10 32.11 32.12 32.13 32.14 32.15 32.16 32.17 32.18 32.19 32.20 32.21 32.22 32.23 32.24 32.25 32.26 32.27§33. Формулы сокращённого умножения
33.1 33.2 33.3 33.4 33.5 33.6 33.7 33.8 33.9 33.10 33.11 33.12 33.13 33.14 33.15 33.16 33.17 33.18 33.19 33.20 33.21 33.22 33.23 33.24 33.25 33.26 33.27 33.28 33.29 33.30 33.31 33.32 33.33 33.34 33.35 33.36 33.37 33.38 33.39 33.40 33.41 33.42 33.43 33.44 33.45 33.46 33.47 33.48 33.49 33.50 33.51 33.52 33.53 33.54 33.55 33.56 33.57 33.58 33.59 33.60 33.61 33.62 33.63 33.64 33.65§34. Деление многочлена на одночлен
34.1 34.2 34.3 34.4 34.5 34.6 34.7 34.8 34.9 34.10 34.11 34.12 34.13 34.14 34.15 34.16 34.17§35. Процентные частоты
35.1 35.2 35.3 35.4 35.5 35.6 35.7 35.8Домашняя контрольная работа №6:
1.1 1.2 2.1 2.27 глава. Номера с 36.1 по 43.8 (Разложение многочленов на множители.)
§36. Что такое разложение многочлена на множители и зачем оно нужно
36.1 36.2 36.3 36.4 36.5 36.6 36.7 36.8 36.9 36.10 36.11 36.12 36.13 36.14 36.15 36.16 36.17 36.18 36.19§37. Вынесение общего множителя за скобки
37.1 37.2 37.3 37.4 37.5 37.6 37.7 37.8 37.9 37.10 37.11 37.12 37.13 37.14 37.15 37.16 37.17 37.18 37.19 37.20 37.21 37.22 37.23 37.24 37.25 37.26 37.27 37.28§38. Способ группировки
38.1 38.2 38.3 38.4 38.5 38.6 38.7 38.8 38.9 38.10 38.11 38.12 38.13 38.14 38.15 38.16 38.17 38.18 38.19 38.20 38.21 38.22 38.23§39. Разложение многочленов на множители с помощью формул сокращённого умножения
39.1 39.2 39.3 39.4 39.5 39.6 39.7 39.8 39.9 39.10 39.11 39.12 39.13 39.14 39.15 39.16 39.17 39.18 39.19 39.20 39.21 39.22 39.23 39.24 39.25 39.26 39.27 39.28 39.29 39.30 39.31 39.32 39.33 39.34 39.35 39.36 39.37 39.38 39.39 39.40 39.41 39.42 39.43 39.44 39.45 39.46 39.47 39.48 39.49 39.50 39.51 39.52 39.53§40. Разложение многочленов на множители с помощью комбинации различных приёмов
40.1 40.2 40.3 40.4 40.5 40.6 40.7 40.8 40.9 40.10 40.11 40.12 40.13 40.14 40.15 40.16 40.17 40.18 40.19 40.20 40.21 40.22 40.23 40.24 40.25 40.26 40.27 40.28 40.29 40.30§41. Сокращение алгебраических дробей
41.1 41.2 41.3 41.4 41.5 41.6 41.7 41.8 41.9 41.10 41.11 41.12 41.13 41.14 41.15 41.16 41.17 41.18 41.19 41.20 41.21 41.22 41.23 41.24 41.25 41.26 41.27 41.28 41.29 41.30 41.31 41.32 41.33 41.34 41.35 41.36 41.37 41.38 41.39 41.40 41.41 41.42§42. Тождества
42.1 42.2 42.3 42.4 42.5 42.6 42.7 42.8 42.9 42.10 42.11 42.12 42.13 42.14 42.15 42.16 42.17 42.18 42.19 42.20 42.21 42.22§43. Среднее значение и дисперсия
43.1 43.2 43.3 43.4 43.5 43.6 43.7 43.8Домашняя контрольная работа №7:
1.1 1.2 2.1 2.28 глава. Номера с 44.1 по 47.8 (Функция у = x2.)
§44. Функция у = х2 и её график
44.1 44.2 44.3 44.4 44.5 44.6 44.7 44.8 44.9 44.10 44.11 44.12 44.13 44.14 44.15 44.16 44.17 44.18 44.19 44.20 44.21 44.22 44.23 44.24 44.25 44.26 44.27 44.28 44.29 44.30 44.31 44.32 44.33 44.34 44.35 44.36 44.37 44.38 44.39 44.40 44.41 44.42 44.43 44.44 44.45 44.46 44.47 44.48 44.49 44.50 44.51 44.52 44.53 44.54 44.55 44.56§45. Графическое решение уравнений
45.1 45.2 45.3 45.4 45.5 45.6 45.7 45.8 45.9 45.10 45.11 45.12 45.13 45.14 45.15 45.16.1 45.16.2§46. Что означает в математике запись у = f(x)
46.1 46.2 46.3 46.4 46.5 46.6 46.7 46.8 46.9 46.10 46.11 46.12 46.13 46.14 46.15 46.16 46.17 46.18 46.19 46.20 46.21 46.22 46.23 46.24 46.25 46.26 46.27 46.28 46.29.1 46.30 46.31 46.32 46.33 46.34 46.35 46.36 46.37 46.38 46.39 46.40 46.41 46.42 46.43 46.44 46.45 46.46 46.47 46.48§47. Группировка данных
47.1 47.2 47.3 47.4 47.5 47.6 47.7 47.8Домашняя контрольная работа №8:
1.1 1.2 1.3 2.1 2.2 2.3Упражнения с 1 по 188 (Итоговое повторение.)
1 2 3 4 5 6 7 8 9 10 11 12 13 14 15 16 17 18 19 20 21 22 23 24 25 26 27 28 29 30 31 32 33 34 35 36 37 38 39 40 41 42 43 44 45 46 47 48 49 50 51 52 53 54 55 56 57 58 59 60 61 62 63 64 65 66 67 68 69 70 71 72 73 74 75 76 77 78 79 80 81 82 83 84 85 86 87 88 89 90 91 92 93 94 95 96 97 98 99 100 101 102 103 104 105 106 107 108 109 110 111 112 113 114 115 116 117 118 119 120 121 122 123 124 125 126 127 128 129 130 131 132 133 134 135 136 137 138 139 140 141 142 143 144 145 146 147 148 149 150 151 152 153 154 155 156 157 158 159 160 161 162 163 164 165 166 167 168 169 170 171 172 173 174 175 176 177 178 179 180 181 182 183 184 185 186.1 186.2 187.1 187.2 188.1 188.2