
Авторы: Мерзляк, Полонский, Якир
Вентана-Граф, 2019
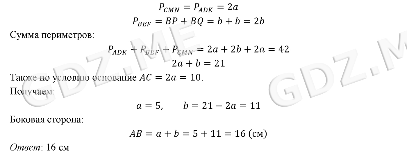
Подробный вариант решения из решебника (ГДЗ): Задание номер 564.2 (Глава 4 Окружность и круг. Геометрические построения) по предмету Геометрия, за 7 класс, авторы учебника Мерзляк, Полонский, Якир.
Проверь себя 2
1 2 3 4 5 6 7 8 9 10 11Проверь себя 3
1 2 3 4 5 6 7 8 9 10 11Проверь себя 4
1 2 3 4 5 6 7 8 9 10 11Вопросы к §1
1 2 3 4 5 6 7 8 9 10 11 12 13 14 15 16Вопросы к §2
1 2 3Вопросы к §3
1 2 3Вопросы к §4
1Вопросы к §5
1 2 3 4 5 6 7Вопросы к §6
1 2 3 4 5 6 7 8 9 10 11Вопросы к §7
1 2 3 4 5 6 7 8 9Вопросы к §8
1 2Вопросы к §9
1 2 3Вопросы к §10
1 2 3 4 5 6Вопросы к §11
1 2 3 4 5Вопросы к §12
1 2 3 4 5 6 7 8 9 10 11 12Вопросы к §13
1 2 3 4 5Вопросы к §14
1 2 3 4 5 6 7 8 9 10 11Вопросы к §15
1 2 3 4 5 6 7 8Вопросы к §16
1 2 3 4 5 6 7 8 9 10 11 12 13 14Вопросы к §17
1 2 3 4 5 6 7 8 9 10 11Вопросы к §18
1 2 3 4 5 6Вопросы к §19
1 2 3 4 5 6 7 8 9Вопросы к §20
1 2 3 4 5 6Вопросы к §21
1 2 3 4 5 6 7 8 9 10 11 12Вопросы к §22
1 2 3 4 5 6 7 8 9 10 11 12 13