
Авторы: Мерзляк, Полонский, Якир
Вентана-Граф. 2021
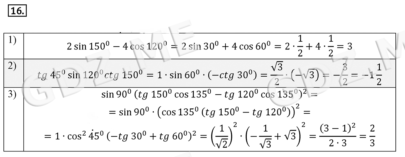
Подробный вариант решения из решебника (ГДЗ): Задание номер 16 (Глава 1 Решение треугольников) по предмету Геометрия, за 9 класс, авторы учебника Мерзляк, Полонский, Якир.
Упражнения
1 2 3 4 5 6Проверьте себя №1
1 2 3 4 5 6 7 8 9 10 11 12Проверьте себя №2
1 2 3 4 5 6 7 8 9 10 11 12Проверьте себя №3
1 2 3 4 5 6 7 8 9 10 11 12Проверьте себя №4
1 2 3 4 5 6 7 8 9 10 11 12Проверьте себя №5
1 2 3 4 5 6 7 8 9 10 11 12 13Вопросы к §1
1 2 3 4 5 6 7 8 9 10 11 12 13 14 15 16Вопросы к §2
1 2 3Вопросы к §3
1 2 3Вопросы к §4
1Вопросы к §5
1 2 3 4 5 6 7Вопросы к §6
1 2 3 4 5 6 7 8 9 10 11Вопросы к §7
1 2 3 4 5 6 7 8 9Вопросы к §8
1 2Вопросы к §9
1 2 3Вопросы к §10
1 2 3 4 5 6Вопросы к §11
1 2 3 4 5Вопросы к §12
1 2 3 4 5 6 7 8 9 10 11 12Вопросы к §13
1 2 3 4 5Вопросы к §14
1 2 3 4 5 6 7 8 9 10 11Вопросы к §15
1 2 3 4 5 6 7 8Вопросы к §16
1 2 3 4 5 6 7 8 9 10 11 12 13 14Вопросы к §17
1 2 3 4 5 6 7 8 9 10 11Вопросы к §18
1 2 3 4 5 6Вопросы к §19
1 2 3 4 5 6 7 8 9Вопросы к §20
1 2 3 4 5 6Вопросы к §21
1 2 3 4 5 6 7 8 9 10 11 12Вопросы к §22
1 2 3 4 5 6 7 8 9 10 11 12 13