
Авторы: Зив Б.Г., Гольдич В.А.
2004
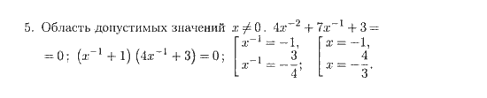
Подробный вариант решения из решебника (ГДЗ): Задание номер 5 (Самостоятельные работы. 5. Степень с целым показателем. Вариант 1) по предмету Алгебра, за 9 класс, авторы учебника Зив Б.Г., Гольдич В.А..
Алгебраические уравнения. Системы алгебраических уравнений
Вариант 1
1 2 3 4Вариант 3
1 2 3 42. Степень с рациональным показателем
Вариант 1
1 2 3 4 5 6Вариант 3
1 2 3 4 5 63. Степенная функция
Вариант 1
1 2 3 4Вариант 3
1 2 3 44. Основные тригонометрические тождества
Вариант 1
1 2 3 4 5 6Вариант 3
1 2 3 4 5 65. Формулы сложения. Формулы приведения
Вариант 1
1 2 3 4 5Вариант 3
1 2 3 4 56. Прогрессии
Вариант 1
1 2 3 4 5Вариант 3
1 2 3 4 57. Итоговая контрольная работа
Вариант 1
1 2 3 4 5 6 7 8Вариант 3
1 2 3 4 5 6 7 8Проверочная работа № 1
Вариант 1
1 2 3 4 5 6Вариант 3
1 2 3 4 5 6Проверочная работа № 2
Вариант 1
3 4Вариант 3
1 2 3 4Проверочная работа № 3
Вариант 1
1 2 3 4Вариант 3
1 2 3 4 5Проверочная работа № 4
Вариант 1
1 2 3 4 5 6Вариант 3
1 2 3 4 5 61. Деление многочленов. Решение алгебраических уравнений
Вариант 1
1 2 3 4Вариант 3
1 2 3 4Вариант 5
1 2 3 4 5Вариант 7
1 2 3 4 52. Уравнения, сводящиеся к алгебраическим
Вариант 1
1 2 3 4 5Вариант 3
1 2 3 4 5Вариант 5
1 2 3 4 5Вариант 7
1 2 3 4 53. Системы нелинейных уравнений
Вариант 1
1 2 3 4 5Вариант 3
1 2 3 4 5Вариант 5
1 2 3 4 5Вариант 7
1 2 3 4 54. Решение задач с помощью уравнений
Вариант 1
1 2 3Вариант 3
1 2 3Вариант 5
1 2 3Вариант 7
1 2 35. Степень с целым показателем
Вариант 1
1 2 3 4 5 6Вариант 3
1 2 3 4 5 6Вариант 5
1 2 3 4 5 6Вариант 7
1 2 3 4 5 66. Корень натуральной степени
Вариант 1
1 2 3 4 5 6 7Вариант 3
1 2 3 4 5 6 7Вариант 5
1 2 3 4 5 6 7Вариант 7
1 2 3 4 5 6 77. Степень с рациональным показателем
Вариант 1
1 2 3 4 5Вариант 3
1 2 3 4 5Вариант 5
1 2 3 4 5Вариант 7
1 2 3 48. Упражнения на все действия над радикалами и степенями
Вариант 1
1 2Вариант 3
1 2Вариант 5
1 2Вариант 7
1 29. Область определения функции. Возрастание и убывание функции
Вариант 3
1 2 3 4Вариант 5
4 5Вариант 7
1 2 310. Четность и нечетность функции. Функция у = k
x
Вариант 1
1 2 3Вариант 3
1 2 3Вариант 5
1 2 3Вариант 7
1 2 3 411. Неравенства и уравнения, содержащие степень
Вариант 1
1 2 3Вариант 3
1 2 3Вариант 5
1 2 3Вариант 7
1 2 312. Радианная мера угла
Вариант 1
1 2 3 4 5 6 7Вариант 3
1 2 3 4 5 6 7Вариант 5
1 2 3 4 5 6 7Вариант 7
1 2 313. Тригонометрические тождества
Вариант 1
1 2 3 4 5Вариант 3
1 2 3 4 5Вариант 5
1 2 3 4 5Вариант 7
1 2 3 4 5 614. Формулы сложения
Вариант 1
1 2 3 4Вариант 3
1 2 3 4Вариант 5
1 2 3 4 5Вариант 7
1 2 3 4 515. Синус и косинус двойного угла
Вариант 1
1 2 3 4 5Вариант 3
1 2 3 4 5 6Вариант 5
1 2 3 4 5 6Вариант 7
1 2 3 4 5 616. Формулы приведения
Вариант 1
1 2 3 4 5Вариант 3
1 2 3 4 5Вариант 5
1 2 3 4 5Вариант 7
1 2 3 4 517. Арифметическая прогрессия
Вариант 1
1 2 3 4 5Вариант 3
1 2 3 4 5Вариант 5
1 2 3 4 5Вариант 7
1 2 3 4 518. Геометрическая прогрессия
Вариант 1
1 2 3 4 5 6Вариант 3
1 2 3 4 5 6Вариант 5
1 2 3 4 5 6Вариант 7
1 2 3 4 5 619. Бесконечно убывающая геометрическая прогрессия. Смешанные задачи на прогрессии
Вариант 1
1 2 3 4Вариант 3
1 2 3 4Вариант 5
1 2 3 4 5Вариант 7
1 2 3 4 5