
Авторы: Мерзляк, Полонский, Якир
Вентана-Граф, 2014
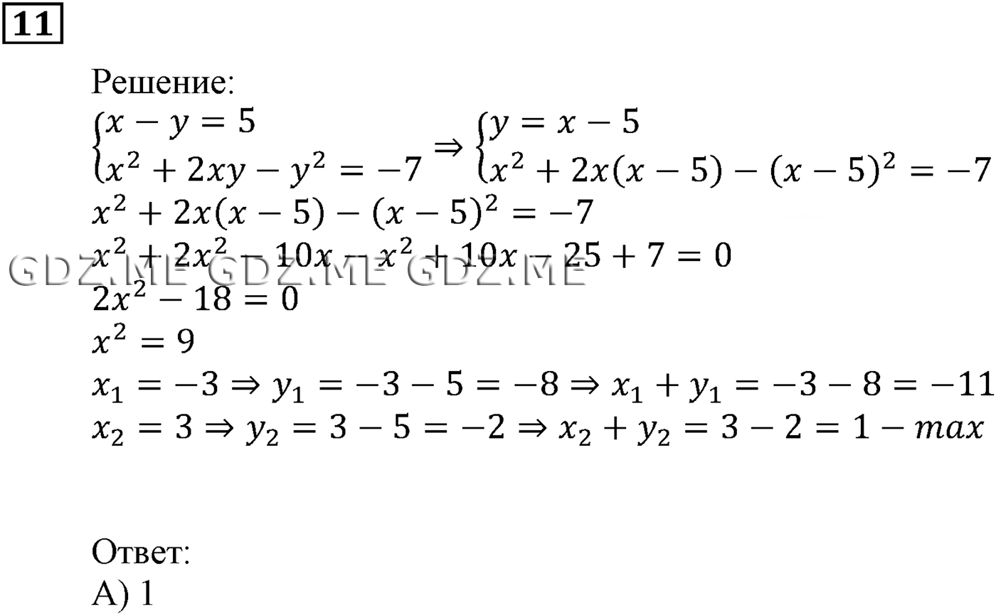
Подробный вариант решения из решебника (ГДЗ): Задание номер 11 (Глава 2 Квадратная функция. Проверь себя Параграф 13) по предмету Алгебра, за 9 класс, авторы учебника Мерзляк, Полонский, Якир.
Проверь себя
1 2 3 4 5 6 7 8 9 10 11 12 13 14 15 16 17 18Задания
1 2Проверь себя Параграф 11
1 2 3 4 5 6 7 8 9 10 11 12 13 14 15 16 17 18Проверь себя Параграф 13
1 2 3 4 5 6 7 8 9 10 11 12 13 14 15 16 17 18Когда сделаны уроки
1 2 3 4 5 6 7 8 9 10Проверь себя 1
1 2 3 4 5 6 7 8 9 10 11 12 13 14 15 16 17 18Проверь себя 1-1
1 2 3 4 5 6 7 8 9 10 11 12 13 14 15 16 17 18Проверь себя
1 2 3 4 5 6 7 8 9 10 11 12 13 14 15 16 17 18