
Авторы: Галицкий М.Л., Гольдман А.М., Звавич Л.И.
Просвещение, 2011
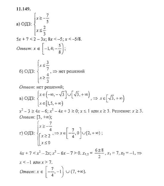
Подробный вариант решения из решебника (ГДЗ): Задание номер 11.149 (Уравнения с параметрами) по предмету Алгебра, за 8 класс, авторы учебника Галицкий М.Л., Гольдман А.М., Звавич Л.И..
Обобщающие проверочные работы rabota 1 rabota 2 rabota 3 rabota 4 rabota 5 rabota 6 rabota 7 rabota 8 rabota 9 rabota 10 rabota 11 rabota 12 rabota 13 rabota 14 rabota 15 rabota 16 rabota 17 rabota 18 rabota 19 rabota 20
Тематические серии для организации заключительного повторения
Арифметическая прогрессия: 1 2 3 4 5 6 7 8
Геометрическая прогрессия: 1 2 3 4 5 6 7 8 9 10 11
Делимость целых чисел: 1 2 3 4 5 6 7 8 9 10 11 12 13 14 15 16
Дробно иррациональные уравнения: 1 2 3 4 5 6 7 8 9 10
Замена переменной: 1 2 3 4 5 6
Квадратные уравнения: 1 2 3 4 5 6 7 8 9 10 11 12 13 14
Наибольшее и наименьшее значение: 1 2 3 4 5 6 7 8 9
Неравенства с параметрами: 1 2 3 4 5 6 7 8
Решение квадратных неравенств: 1 2 3 4 5 6 7
Системы уравнений: 1 2 3 4 5 6 7 8 9
Теорема Виетта: 1 2 3 4 5 6 7 10
Тригонометрические выражения: 1 2 3 4 5 6 7 8 9
Уравнения с параметрами: 1 2 3 4 5 6 7 9.4 9.5 9.6 9.7 9.8 9.9 10.1 10.2 10.3 10.4 10.5 10.6 10.7 10.8 10.9 11.1 11.2 11.3 11.4 11.5 11.6 11.7 11.8 11.9 12.1 12.2 12.3 12.4 12.5 12.6 12.7 12.8 12.9 13.1 13.2 13.3 13.4 13.5 13.6 13.7 13.8 13.9 9.10 9.11 9.12 9.13 9.14 9.15 9.16 9.17 9.18 9.19 9.20 9.21 9.22 9.23 9.24 9.25 9.26 9.27 9.28 9.29 9.30 9.31 9.32 9.34 9.35 9.36 9.37 9.38 9.39 9.40 9.41 9.42 9.43 9.44 9.45 9.46 9.47 9.48 9.49 9.50 9.51 9.52 9.53 9.54 9.55 9.56 9.57 9.58 9.59 9.60 9.61 9.62 9.63 9.64 9.65 9.66 9.67 9.68 9.69 9.70 9.71 9.72 9.73 9.74 9.75 9.76 9.77 9.78 9.79 9.80 9.81 9.82 9.83 9.84 9.85 9.86 9.87 9.88 9.89 9.90 9.91 9.92 9.93 9.94 9.95 9.96 9.97 9.98 9.99 10.10 10.11 10.12 10.13 10.14 10.15 10.16 10.17 10.18 10.19 10.20 10.21 10.22 10.23 10.24 10.25 10.26 10.27 10.28 10.29 10.30 10.31 10.32 10.33 10.34 10.35 10.36 10.37 10.38 10.39 10.40 10.41 10.42 10.43 10.44 10.45 10.46 10.47 10.48 10.49 10.50 10.51 10.52 10.53 10.54 10.55 10.56 10.57 10.58 10.59 10.60 10.61 10.62 10.63 10.64 10.65 10.66 10.67 10.68 10.69 10.70 10.71 10.72 10.73 10.74 10.75 10.76 10.77 10.78 10.79 10.80 10.81 10.82 11.10 11.11 11.12 11.13 11.14 11.15 11.16 11.17 11.18 11.19 11.20 11.21 11.22 11.23 11.24 11.25 11.26 11.27 11.28 11.29 11.30 11.31 11.32 11.33 11.34 11.35 11.36 11.37 11.38 11.39 11.40 11.41 11.42 11.43 11.44 11.45 11.46 11.47 11.48 11.49 11.50 11.51 11.52 11.53 11.54 11.55 11.56 11.57 11.58 11.59 11.60 11.61 11.62 11.63 11.64 11.65 11.66 11.67 11.68 11.69 11.70 11.71 11.72 11.73 11.74 11.75 11.76 11.77 11.78 11.79 11.80 11.81 11.82 11.83 11.84 11.85 11.86 11.87 11.88 11.89 11.90 11.91 11.92 11.93 11.94 11.95 11.96 11.97 11.98 11.99 12.10 12.11 12.12 12.13 12.14 12.15 12.16 12.17 12.18 12.19 12.20 12.21 12.22 12.23 12.24 12.25 12.26 12.27 12.28 12.29 12.30 12.31 12.32 12.33 12.34 12.35 12.36 12.37 12.38 12.39 12.40 12.41 12.42 12.43 12.44 12.45 12.46 12.47 12.48 12.49 12.50 12.51 12.52 12.53 12.54 12.55 12.56 12.57 12.58 12.59 12.60 12.61 12.62 12.63 12.64 12.65 12.66 12.67 12.68 12.69 12.70 12.71 12.72 12.73 12.74 12.75 12.76 12.77 12.78 12.83 12.84 12.85 12.86 12.87 12.88 12.89 12.90 12.91 12.92 12.93 12.94 12.95 12.96 12.97 12.98 12.99 13.10 13.11 13.12 13.13 13.14 13.15 13.16 13.17 13.18 13.19 13.20 13.21 13.22 13.23 13.24 13.25 13.26 13.27 13.28 13.29 13.30 13.31 13.32 13.33 13.34 13.35 13.36 13.37 13.38 13.39 13.40 13.41 13.42 13.43 13.44 13.45 13.46 13.47 13.48 13.49 13.50 13.51 13.52 13.53 13.54 13.55 13.56 13.57 13.58 13.59 13.60 13.61 13.62 13.63 13.64 13.65 13.66 13.67 13.68 13.69 13.70 13.71 13.72 13.73 13.74 13.75 13.76 13.77 13.78 13.79 13.80 13.81 13.82 13.83 13.84 13.85 13.86 13.87 13.88 13.89 13.90 13.91 13.92 13.93 13.94 13.95 13.96 13.97 13.98 13.99 9.100 9.101 9.102 9.103 9.104 9.105 9.106 9.107 9.108 9.109 9.110 9.111 9.112 9.113 9.114 9.115 9.116 9.117 9.118 9.119 9.120 9.121 9.122 9.123 9.124 9.125 9.126 9.127 9.128 9.129 9.130 9.131 9.132 9.133 9.134 9.135 9.136 9.137 9.138 9.139 9.140 9.141 9.142 9.143 9.144 9.145 9.146 9.147 9.148 9.149 9.150 9.151 9.152 9.153 9.154 9.155 9.156 9.157 9.158 9.159 9.160 9.161 9.162 9.163 9.164 9.165 9.166 9.167 9.168 9.169 9.170 9.171 9.172 9.173 9.174 9.175 9.176 9.177 9.178 9.179 9.180 9.181 9.182 9.183 9.184 9.185 9.186 9.187 9.188 9.189 9.190 9.191 9.192 9.193 9.194 9.195 9.196 9.197 9.198 9.199 9.200 9.201 9.202 9.203 9.204 9.205 9.206 9.207 9.208 9.209 9.210 9.211 9.212 9.213 9.214 9.215 11.100 11.101 11.102 11.103 11.104 11.105 11.106 11.107 11.108 11.109 11.110 11.111 11.112 11.113 11.114 11.115 11.116 11.117 11.118 11.119 11.120 11.121 11.122 11.123 11.124 11.125 11.126 11.127 11.128 11.129 11.130 11.131 11.132 11.133 11.134 11.135 11.136 11.137 11.138 11.139 11.140 11.141 11.142 11.143 11.144 11.145 11.146 11.147 11.148 11.149 11.150 11.151 11.152 11.153 11.154 11.155 12.100 12.101 12.102 12.103 12.104 12.105 12.106 12.107 12.108 12.109 12.110 12.111 12.112 12.113 12.114 12.115 12.116 12.117 12.118 12.119 12.120 12.121 12.122 12.123 12.124 12.125 12.126 12.127 12.128 12.129 12.130 12.131 12.132 12.133 12.134 12.135 12.136 12.137 12.138 12.139 12.140 12.141 12.142 12.143 12.144 12.145 12.146 12.147 12.148 12.149 12.150 12.151 12.152 12.153 12.154 12.155 12.156 12.157 12.158 12.159 12.160 12.161 12.162 12.163 12.164 12.165 12.166 12.167 12.168 12.169 12.170 12.171 12.172 12.173 12.174 12.175 12.176 12.177 12.178 12.179 12.180 12.181 12.182 12.183 12.184 12.185 12.186 12.187 12.188 12.189 12.190 12.191 12.192 12.193 12.194 12.195 12.196 12.197 12.198 12.199 12.200 12.201 12.202 12.203 12.204 12.205 12.206 12.207 12.208 12.209 12.210 12.211 12.212 12.213 12.214 12.215 12.216 12.217 12.218 12.219 12.220 12.221 12.222 12.223 12.224 12.225 12.226 12.227 12.228 12.229 12.230 12.231 12.232 12.233 12.234 12.235 12.236 12.237 12.238 12.239 12.240 12.241 12.242 12.243 13.100 13.101 13.104 13.105 13.106 13.107 13.108 13.109 13.110 13.111 13.112 13.113 13.114 13.115 13.116 13.117 13.118 13.119 13.120 13.121 13.122 13.123 13.124 13.125 13.126 13.127 13.128 13.129 13.130 13.131 13.132 13.133 13.134 13.135 13.136 13.137 13.138 13.139 13.140 13.141 13.142 13.143 13.144 13.145 13.146 13.147 13.148 13.149 13.150 13.151 13.152 13.153 13.154 13.155 13.156 13.157 13.158 13.159 13.160 13.161 13.162 13.163 13.164 13.165 13.166 13.167 13.168 13.169 13.170 13.171 13.172 13.173 13.174 13.175 13.176 13.177 13.178 13.179 13.180 13.181 13.182 13.183 13.184 13.185 13.186 13.187 13.188 13.189 13.190 13.191 13.192 13.193 13.194 13.195 13.196 13.197 13.198 13.199 13.200 13.201