
Авторы: Виленкин Н.Я., Жохов В.И., Чесноков А.С., Шварцбурд С.И.
Мнемозина
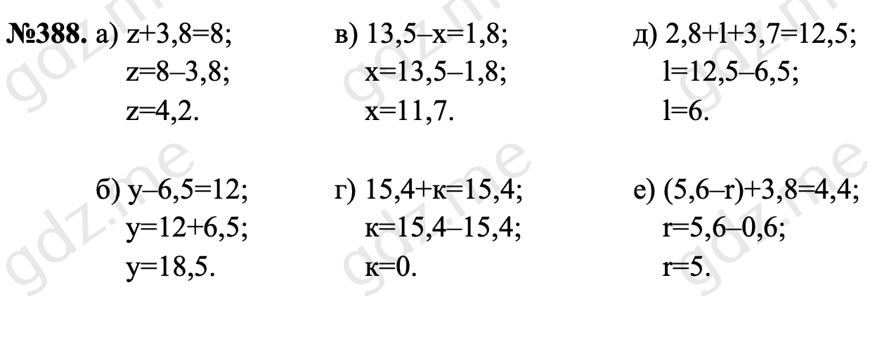
Подробный вариант решения из решебника (ГДЗ): Задание номер 388 (1238) (Часть 2) по предмету Математика, за 5 класс, авторы учебника Виленкин Н.Я., Жохов В.И., Чесноков А.С., Шварцбурд С.И..