
Авторы: Цветков Л.А.
Владос, 2006
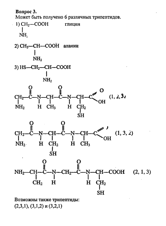
Подробный вариант решения из решебника (ГДЗ): Задание номер 3 (11. Белки. Нуклеиновые кислоты§ 44. Белки) по предмету Химия, за 10 класс, авторы учебника Цветков Л.А. .
Практические работы1 2 3 4 5 6 2 3 4 5 6 7 8 9 10 11 12 13 14 Vopr_1 Vopr_3 Vopr_4 6 7 8 10 11 12 13 14 15 1 2 4 5 6 7 8 9 10 11 12 13 14 15 16 18 19 20 21 22 23 24 25 26 28 29 30 31 32 33 34 1 2 3 5 6 7 8 9 10 11 12 13 15 16 17 18 19 20 21 22 23 24 26 27 28 29 30 32 33 34 35 36 37 39 40 41 43 44 45 46 47 49 50 51 52 53 54 55 1 2 3 4 5 6 7 9 10 11 12 13 14 15 16 18 19 20 21 22 23 1 2 3 5 6 7 8 10 11 12 13 14 15 16 17 18 20 21 22 23 24 25 1 2 3 4 5 6 7 8 9 10 11 12 13 14 15 16 17 7 8 9 10 11 12 13 14 15 16 17 19 20 21 22 23 24 25 27 28 29 30 31 33 34 35 36 37 1 2 3 4 5 6 7 8 9 11 12 13 14 15 16 17 18 20 21 22 23 24 25 26 27 29 30 31 32 33 34 35 36 37 1 2 3 4 5 6 8 9 10 11 12 13 14 15 1 2 3 4 5 6 7 9 10 11 13 14 15 17 18 19 20 22 23 24 25 26 27 1 2 3 4 5 6 7 8 9 10 11 13 14 15 16 17 19 20 21 22 23 25 1 2 3 4 5 6 7 9 10 11 12 1 2 3 4 5 6 7 8 9 10 12 13 14 15 16 17 19 20 21 22 23 24 25 26 27 27 28 29 30 31 33 34 35 36 37 38 39 40